点关注不迷路,我带大家上高速


案例:海尔物流和立体库
●海尔集团公司分析发现在整个生产过程中,最受制约的就是仓储,就是原材料和零部件的仓储和配送,所以海尔选择了这个突破口。
●在青岛海尔信息园里面建了一座机械化的立体库,在黄岛开发区建了一座全自动的立体库。在国内人们因为人工成本便宜,地皮又大而质疑立体库的效果。
●但海尔的事实是,黄岛立体库长120米、宽60米,仓储面积5400m2,立体库有9168个标准托盘位,托盘是1.2X1米的;立体库的建筑高度是16米,放货的高度可到12.8米,每天进出的托盘达到1200个,实际能力是1600个。
●5400m2取代了原来65000m2的外租库,而且由于使用了计算机系统,管理人员从原来的300多人降为48人。通过减少外租库的租金,外租库到车间的来回费用,节省工人工资加起来一年是1200万。
●第二个作用是降低了物料的库存。因为海尔在计算机系统里都设定了,比如说只允许放7天的料,超过7天不让进,相对来说使整个库存量下降。库存量下降当时空调事业部就是一个典型的例子,大约3个月,从9月到12月降了1.4亿。
●第三个作用是深化了企业物流系统的规划。因为立体库使用后是两翼推动,一是海尔要求所有的分供方按照照标准化的模式送货,所有的都是标准化的托盘,标准的周转箱。
●以往都是纸箱,纸箱的坏处在于,产品的零部件容易压坏,上线的时候还要倒箱,多次倒箱增加了人工拣选,保证不了产品的质量。现在采用统一的产品包装,从分供方的厂里到海尔的生产线整个过程不用倒箱。
●对车间也是一样,以往车间的效果也是脏、乱、差,使用标准箱之后,全部是叉车作业标准化。立体库对两方都产生了有利的作用,对分供方也好,对海尔内部的整个物流推进也是很重要的。
●二是,立体库具有灵活性和扩展性,刚开始设计立体库想的只是放空调的东西,但是通过计算机系统管理以后,只占很少的库容,公司马上把冰箱、洗衣机、电脑全部放进去,一下减少了这些厂的外租库,整个效果非常明显。
●立体库就有这么多好处。并不一定非要建立体库,在车间旁边也可以搭立体货架,这样就节约了车间里面宝贵的生产面积,每一寸土地都得到充分的利用。
■讨论1:什么是自动化立体仓库?
■讨论2:自动化立体仓库有哪些部分构成?(视频)
■讨论3:自动化立体仓库有哪些优点?

■自动化立体仓库,一般指采用几层、十几层乃至几十层高的货架储存货物,并且用专门的仓储作业设备进行货物出库或入库作业的仓库。由于这类仓库能充分利用空间进行储存,故形象地称为立体仓库。
■自动化立体仓库是采用自动化存储系统(AS/RS, Automated Storage and RetrievalSystem),由高层货架(High Level Rock)、巷道堆垛起重机(Stacker Crane)、出入库输送机系统(Output/ Input Conveyor)、自动化控制系统(Automatic Control System)、计算机仓库管理系统(Warehouse ManagementSystem)及周边设备(Peripheral Equipment)组成,可实现对集装单元货物自动化保管和计算机管理的仓库。
1.空间利用
一、仓库布置设计
(1)蜂窝损失
分类堆码时计算面积要考虑蜂窝损失。以图所示的分类堆码为例,图a为一个通道各有一排货物,每排货物有若干列,而每一列堆码四层。
如果在一列货堆上取走一层或几层,只要不被取尽,所产生的空缺不能被别的货物填补,留下的空位有如蜂窝,故夕蜂寞形穴钟它影响了库灾量的充分利用。单双

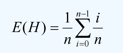
■蜂窝损失空缺系数的计算如下。
■空缺系数H的期望值为

■式中n一一列货位堆码货物件数;i=0,1,
2,...o
■例 求图中的蜂窝损失空缺系数。

■例 求图中的蜂窝损失空缺系数。
■解:图中一列货物可能有四种状态:只堆1、2、3或4层,因此相应的空缺数分别为3/4.2/4.1/4和0。设4种状态的出现概率都是1/4,则空缺系数H的期望值

■同理对右图中可算出为0.4375

(2)通道损失
■通道损失则是由于通道占据了有效的堆放面积,无论分类堆码,还是货架储存,都存在通道损失。若不考虑通道深度方向的情况,通道损失可用下式计算
■La=Wa/(Wa +2d)
■式中Wa一Width of asile通道宽度,d一depth货堆深度。
■计算通道损失。

■如下图a,托盘深度为1m,叉车作业通道宽度为3m,则通道损失为3/5,即60%。可见通道损失之多。
■为降低此损失,可以增加货位深度,如图b堆两排,通道损失降到31(4十3)=0.429,但此时增加了蜂窝损失。

■对于常见的选择式货架来说,堆垛深度最多两排,即双深式货架,此时可配用带伸缩叉的叉车。但出入库和装卸搬运等操作不太方便,需要全面考虑,具体参见后面案例。
■通过上述典型计算,在货物不同深度时的通道损失、蜂窝损失及总空间损失见下表7-1。
■可见,货堆越深,通道的损失越小,虽然蜂窝形的空缺损失增大,但总的库容量损失有所减少。
■平面损失率很大,要提高空间利用率,只有往高度发展和降低通道宽度,这也是高层自动化立体仓库发展的一个原因。

例
■某种货物C为木箱包装形式,尺寸(长X宽X高)为1000X600X700mm,箱底部平行宽度方向有两根垫木,可用叉车搬运,在仓库中堆垛放置,最高可堆4层。C货物最大库存量为600件,请考虑通道损失(设叉车直角堆垛最小通道宽度为3.6m)和蜂窝损失确定其需要的存储面积。
■(一般叉车货叉长达900~1000mm)

例
■解:货物堆垛4层,实际占地面积为1.0x0.6x600/4=90m2.
■一般叉车货叉长达900~1000mm,因此堆码时一次可以叉两件C货物。则通道分类堆垛方式为每通道两边至少各有两排货物。
■若按货堆深度两排计算,此时通道损失物一是一窝税天货列8件计,可算出蜂窝损失空缺系数E(H)=7/16=0.4375,考虑通道损失后的蜂窝损失为0.4375X(1-0.6)=0.175,合计损失为0.6+0.175=0.775。故需要的存储面积为90/(1-0.775)=400 m2。
例 若货堆深度更多,如4排
■解:货物堆垛4层,实际占地面积为1.0x0.6x600/4=90m2。
■若货堆深度更多,如4排,则La=3.6/(3.6+2X(0.6X4))=0.429,蜂窝损失为一列16件计,蜂窝损失空缺系数E(H)=15/32=0.46875,合计损失为0.429+0.46875X(1-0.429)=0.697,故需要的存储面积为90/(1-0.697)=297m2。
2.库容量与仓库面积
(1)库容量
仓库规模主要取决于拟存货物的平均库存量。货物平均库存量是一个动态指标,它随货物的收发经常发生变化。
作为流通领域的经营性仓库,其库存量难以计算,但可以确定一个最大吞吐量指标;作为制造企业内仓库,可根据历史资料和生产的发展,大体估算出平均库存量,一般应考虑5~10年后预计达到的数量。库存量以实物形态的重量表示。
■在库存量大体确定后,还要根据拟存货物的规格品种、体积、单位重量、形状和包装等确定每一个货物单元的尺寸和重量,以此作为仓库的存储单元(Stock Keeping Unit, SKU).
■仓库存储单元一般以托盘或货箱为载体,每个货物单元的重量多为200~500kg,单元尺寸最好采用标准托盘尺寸。
■对托盘货架仓库以托盘为单位的库存量就是库容量,它可用来确定库房面积。
(2)面积计算
■库房面积包括有效面积和辅助面积,
■有效面积指货架、料垛实际占用面积;辅助面积指收发、分拣作业场地、通道、办公室和卫生间等需要的面积。
■面督计算方法一般有两种:直接计算法和荷重计
■直接计算法是直接计算出货架、堆垛所占的面积和辅助面积等,然后相加求出总面积。
■面积较难计算时,还可以类比同类仓库面积,比较类推出所需面积。
■直接计算法面积的计算与库内货物存储方式、存取策略、空间利用、装卸搬运机械的类型以及通道等有关,在设计时应根据实际情况具体计算。
例
■某金属材料仓库库存量为500吨,全部采用行车搬运集中堆垛存储,垛长6m,垛宽2m,垛高1.5m,考虑蜂窝损失后,空间利用率为0.7,材料比重为7.8t/m3。求面积。
■解:计算料垛所占用的总面积为:
■S=500/(1.5x0.7x7.8)=61m2
■在同一库内的不同物料应分别计算,分类堆垛,求和后,再考虑通道损失,得最后面积。
案例
■采用货架存储的直接计算以托盘为单位,要确定货架货格尺寸,货架排列和层数,再确定面积。
■某仓库拟存储A.B两类货物,包装尺寸(长X宽X高)分别为500X280X180mm和400X300X205mm,采用在
■1200X1000X150mm的标准托盘上堆垛,高度不超过900mm,两类货物最高库存量分别是19200和7500件,采用选取式重型货架堆垛,货架每一货格存放两个托盘货物。
■作业叉车为电动堆垛叉车,提升高度为3524mm,直角堆垛最小通道宽度为2235mm。
■试确定货架长宽高、层数和排数(叉车、货架详细参数见图),并计算货架区面积。

■解:1)计算A.B两类货物所需的托盘存储单元数。
■对A类货物,1200X1000托盘每层可放8件(不超出托盘尺寸),可堆层数为(900-150)/180=4.17,取整即4层,故一托盘可堆垛32件。库存量折合SKU为19200/32=600托盘。
■同理对B类货物,每托盘可堆垛30件,共需250托盘。
A.B共需850托盘。
■2)确定货格尺寸(图)
■因每货格放2托盘,按托盘货架尺寸要求,确定货格尺寸为1200X2十50+3X100=2750mm (含立柱宽度50)长,1000mm深,1100mm高(含横梁高度100)。
■3)确定货架层数
■由叉车的提升高度3524mm,确定货架层数为4层,含地上层。
■4)确定叉车货架作业单
■由于叉车两面作业,故可以确定叉车货架作业单元,见图。该单元共有16个托盘,长度为2.75m,直角堆垛最小通道宽
■即D=2x1m+0.1m+2.235m=4.335m取4.4m
■面积S0=2.75X4.4=12.1m2.

■5)确定面积
■由总SKU数除以叉车货架作业单元得所需单元数,再乘单元面积即可得货架区面积(包括作业通道面积),即
■单元数=850/16=53.125取不小于的整数得54个
■故面积S=54XS0=54X12=648 m2。
■6)确定货架排数
■货架总长和排数与具体的面积形状有关。对新建仓库则可以此作为确定仓库大体形状的基础。本例54个单元,按6X9得货架长9个单元,即长9X2.7=24.3m,共6个巷道,12排货架,深6X4.4=26.4m。深度比长度大,不符合货架沿长方向布置的原则。可考虑用4巷道,取4X14=56,此时长度为37.8m,深度为17.6m,如下图所示。设计时还要进一步放为整数,如3039mX18m。


货架布置不能仅考虑存储和节省面积,还要考虑出货速度。从货架中间设置一个贯穿各排货架的竖向交叉通道,还能增加货架的稳定性。
3.库房布置设计
(1)库房设计
由上述直接计算法得出存储的有效面积后,加上必要的辅助面积,就可得仓库总面积,以此可作库房设计。库房的长度与宽度(跨度)与库房面积有关,在确定的面积下,长宽可以有无数种组合,但设计要按优先比例选取,一般如下表所示。

......本文章共计86页;
1.全文文件免费获取方法(转发下面培训链接至朋友圈至少保留一天,加微信截图私信获取)


内容已更新!【苏州站】4月17-19日|智能物流暨智能仓储应用设计与运作管理研修班
2.本文章15元直接获取!


会议详情请下载附件,查看!
4月18-19日(17日全天报到)【苏州】“智能物流暨智能仓储应用设计与运作管理研修班”-欢迎您报名参加!

Thanks for watching!
本公众号刊载的所有内容,包括文字、图片、音频、视频、等均在网上搜集。仅供参考学习,本公众号提供的内容或服务用于个人学习、研究或欣赏,以及其他非商业性或非盈利性用途,但同时应遵守著作权法及其他相关法律的规定,不得侵犯本公众号及相关权利人的合法权利。
小编提示:
1. 由于公众号修改了推送机制,推送不按时间顺序,若希望不错过精彩内容,请进入“现代供应链物流规划与仓储管理”订阅号主页,将公众号设为“星标”。
2. 如果觉得我们的内容有价值,欢迎文末右下角“点赞”和“在看”,下次更新公众号也会优先推送消息。
感谢您的关注