2024年12月和2025年5月飞机性能现代化工作室编制了《机场道面强度报告格式ACR-PCR方法》和《高度表拨正和气压基准》的两部视频,并在民航局官网“视觉民航”栏目发布,后续收到读者反馈视频部分内容有误,经对比核实,确认视频有两处错误。现针对这两处错误进行勘误。
《机场道面强度报告格式ACR-PCR方法》

课件链接:https://www.caac.gov.cn/ZGMHJSP/SJMH/202412/t20241225_226236.html

《高度表拨正及气压基准》

课件链接:https://www.caac.gov.cn/ZGMHJSP/SJMH/202505/t20250519_227534.html



附录
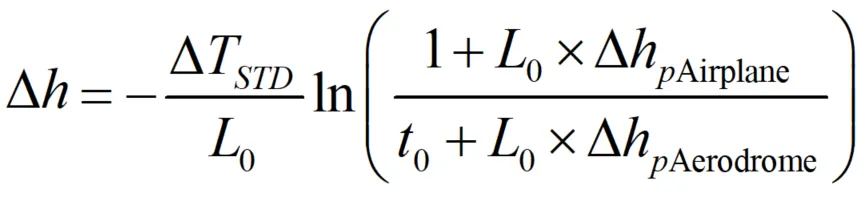
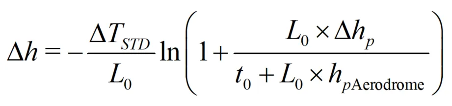
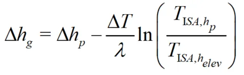
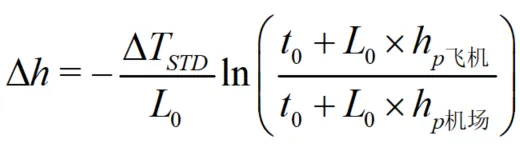
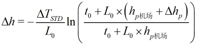
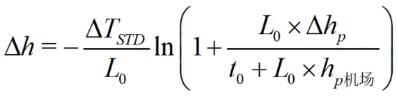
附录A:低温修正公式说明







文中涉及的文章回顾


编辑 | 魏伟
审校 | 庄南剑