更新高中学习资料 跟同学们一起成长加入会员 资料无限畅取群团团接龙pro
关注并设为星标/置顶,每天更新早知道









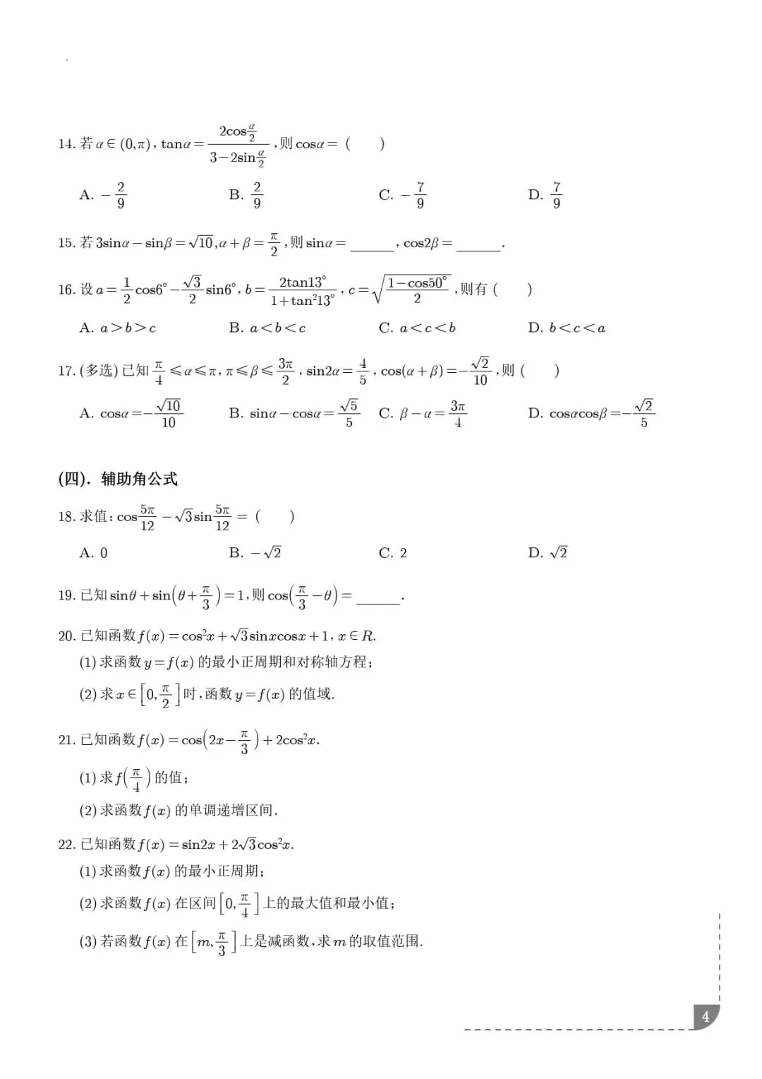
今天跟大家分享的:三角恒等变换期末复习讲义--2026高一上学期数学,获取完整免费版请下拉至文末
特别注意!请尽快保存!!
【格式】pdf 格式
【包含】解析版本和学生版本





......
由于篇幅有限,请用网盘免费下载
五年(2021-2025)全国卷高考语文真题分类精编(通用版)
2023-2025《高考题库》三年真题汇编(化学)(通用版)
2023-2025《高考题库》三年真题汇编(物理)(通用版)
2025年英语新高考一轮二轮复习(含人教、北师大、外研、译林)(付费)
2025届高考物理二轮复习热点题型归类 【模型与方法】[完整版]
【强烈推荐】2026版高考物理培优模型精编word讲义(口令获取)
【独家发布】2025年高考物理二轮复习二十二大专项专题强化专练(含解析)
【高考物理】【易错点】2025版高考物理十六大易错点透析讲义
【高中物理百大专题】2026版高中物理百大微专题(必修+选修(全六册))
【高频模型】高中物理十六大高频模型盘点一一详解(纯净word版)(完整版)
【985培优拔尖】2027届新高二暑期985培优---22大(讲)考点专项讲义(完整版)
2025年高考物理100考点1000题精练含答案解析(新高考通用)(后台获取)
2025年高考地理一轮复习区域地理专项训练(世界地理、中国地理)
2026高考数学导数基础夯实训练100题(1页2题)(后台获取)
【高考数学】【大题规范】高考高三《高中数学•大题规范训练》30套
【高考数学】【圆锥曲线拔尖提升】高考数学拔尖提升大专项26篇(完整版)
【高考数学】高考数学重难点试题分析方法(完整版)(后台获取)
【II卷数学139分】高中数学丛书----高中数学之旅完稿(后台获取)
2026版数学最新复习资料【讲练测】》含复习PPT、易错易混、重难点培优(收费)
2025版高中数学《举一反三》重难点系列(共189个题型)和专题练系列(共189个题型)(付费)
【初中】2026版数学《举一反三系列》九年级上册(后台获取)
2025年高考复习化学课时检测(含解析)(完结)(口令获取)
2026版 《高考必刷题》化学 )新高考版(深度解析+狂K重点)
资料整理不易,请帮忙点赞、分享!谢谢阅读

过期请关注公众号后联系以下微信免费获取(微信长按识别二维码)

免责声明:版权归原属作者,供免费分享,整理不易,如需分享他人,请关注转发本公众号原文,感谢支持。好的内容值得分享,如有侵权请联系删除。
【百度网盘下载链接】
链接: https://pan.baidu.com/s/1lBbRfq-GXLwtZMRU-pZk3Q?pwd=2bzs 提取码: 2bzs
【夸克网盘下载链接】
链接:https://pan.quark.cn/s/345e5877867c