

3.3 抛物线
3.3.1 抛物线及其标准方程
新课程标准解读 | 核心素养 |
1.了解抛物线的实际背景,感受抛物线在刻画现实世界和解决实际问题中的作用 | 数学抽象 |
2.了解抛物线的定义、几何图形和标准方程 | 直观想象、 数学运算 |


把一根直尺固定在图板上直线l的位置,把一块三角尺的一条直角边紧靠着直尺的边缘,再把一条细绳的一端固定在三角尺的另一条直角边的一点A,取绳长等于点A到直角顶点C的长(即点A到直线l的距离),并且把绳子的另一端固定在图板上的一点F.用铅笔尖扣着绳子,使点A到笔尖的一段绳子紧靠着三角尺,然后将三角尺沿着直尺上下滑动,笔尖就在图板上描出了一条曲线.

【问题】你能画出该曲线并说明该曲线具有哪些性质吗?

知识点一抛物线的定义
平面内与一个定点F和一条定直线l(l不经过点F)的 距离相等 的点的轨迹叫做抛物线.点F叫做抛物线的 焦点 ,直线l叫做抛物线的 准线 .
提醒定义中要注意强调定点F不在定直线l上.当直线l经过点F时,点的轨迹是过定点F且垂直于定直线l的一条直线.
知识点二抛物线标准方程的几种形式
图形 | 标准方程 | 焦点坐标 | 准线方程 |

| y2=2px (p>0) | 
| x=- |

| y2=-2px (p>0) | 
| x= |

| x2=2py (p>0) | 
| y=- |

| x2=-2py (p>0) | 
| y= |
提醒四个标准方程的区分方法:焦点在一次项变量对应的坐标轴上,开口方向由一次项系数的符号确定.当系数为正时,开口向坐标轴的正方向;当系数为负时,开口向坐标轴的负方向.

1.判断正误.(正确的画“√”,错误的画“×”)
(1)抛物线的方程都是二次函数.(×)
(2)抛物线的焦点到准线的距离是p(p>0).(√)
(3)平面内到一定点距离与到一定直线距离相等的点的轨迹是抛物线.(×)
(4)只有抛物线的顶点在坐标原点,焦点在坐标轴上时,抛物线才具有标准形式.(√)
2.焦点为(0,2)的抛物线的标准方程是()
A.x2=8yB.x2=4y
C.y2=4xD.y2=8x
答案:A
3.抛物线y2=x的准线方程为()
A.x=
B.x=
C.x=-
D.x=-
解析:D抛物线y2=x的焦点在x轴上,且开口向右,2p=1,∴
=
抛物线y2=x的准线方程为x=-
D.
4.(2024·淄博月考)已知抛物线顶点为坐标原点,焦点在y轴上,抛物线上的点M(m,-2)到焦点的距离为4,则m=±4.
解析:由已知,可设抛物线方程为x2=-2py(p>0).由抛物线定义有2+
=4,∴p=4,∴x2=-8y.将(m,-2)代入上式,得m2=16.∴m=±4.

角度1直接法求抛物线的标准方程
【例1】(1)焦点在y轴上,并且焦点到准线的距离等于6的抛物线的标准方程是(C)
A.x2=±3yB.y2=±6x
C.x2=±12yD.x2=±6y
(2)准线方程为x=
的抛物线的标准方程是y2=-
x.
解析:(1)由已知得p=6且焦点在y轴上,所以抛物线的标准方程是x2=±12y.
(2)由题意知
=
p=
y2=-
x.
通性通法
在抛物线方程的类型已确定的前提下,由于标准方程中只有一个参数p,所以只需一个条件就可以确定抛物线的方程.
角度2待定系数法求抛物线的标准方程
【例2】顶点在原点,且过点(-4,4)的抛物线的标准方程是()
A.y2=-4xB.x2=4y
C.y2=-4x或x2=4yD.y2=4x或x2=-4y
解析:C设抛物线方程为y2=-2p1x(p1>0)或x2=2p2y(p2>0),把(-4,4)代入得16=8p1或16=8p2,即p1=2或p2=2.故抛物线的标准方程为y2=-4x或x2=4y.故选C.
通性通法
用待定系数法求抛物线标准方程的步骤

提醒当抛物线的类型没有确定时,可设方程为y2=mx(m≠0)或x2=ny(n≠0),这样可以减少讨论情况的个数.
【跟踪训练】
根据下列条件分别求出抛物线的标准方程:
(1)经过点(-3,-1);
(2)焦点为直线3x-4y-12=0与坐标轴的交点.
解:(1)因为点(-3,-1)在第三象限,所以设所求抛物线的标准方程为y2=-2px(p>0)或x2=-2py(p>0).
若抛物线的标准方程为y2=-2px(p>0),
则由(-1)2=-2p×(-3),解得p=
;
若抛物线的标准方程为x2=-2py(p>0),则由(-3)2=-2p×(-1),解得p=
.
故所求抛物线的标准方程为y2=-
x或x2=-9y.
(2)对于直线方程3x-4y-12=0,令x=0,得y=-3;令y=0,得x=4,
所以抛物线的焦点为(0,-3)或(4,0).
当焦点为(0,-3)时,=3,所以p=6,此时抛物线的标准方程为x2=-12y;
当焦点为(4,0)时,=4,所以p=8,此时抛物线的标准方程为y2=16x.
故所求抛物线的标准方程为x2=-12y或y2=16x.
角度1焦半径公式及应用
【例3】(1)(2024·常州月考)已知抛物线C:y2=x的焦点为F,A(x0,y0)是C上一点,|AF|=
x0,则x0=(A)
A.1B.2
C.4D.8
(2)抛物线x2=4y上的点P到焦点的距离是10,则P点的坐标为(6,9)或(-6,9).
解析:(1)由题意,知抛物线的准线方程为x=-
|AF|=
x0,根据抛物线的定义,得x0+
=|AF|=
x0,所以x0=1,故选A.
(2)设点P(x0,y0),由抛物线方程为x2=4y,知焦点坐标为(0,1),准线方程为y=-1.由抛物线的定义,得|PF|=y0+1=10,所以y0=9,代入抛物线方程得x0=±6.所以P点坐标为(±6,9).
通性通法
根据抛物线的定义,抛物线上任意一点到焦点的距离等于它到准线的距离,因此,由抛物线定义可以实现点点距离与点线距离的相互转化,从而简化某些问题.
角度2与抛物线有关的轨迹问题
【例4】已知圆C的方程为x2+y2-10x=0,求与y轴相切且与圆C外切的动圆圆心P的轨迹方程.
解:设点P的坐标为(x,y),动圆的半径为R,
∵动圆P与y轴相切,∴R=|x|.
∵动圆与定圆C:(x-5)2+y2=25外切,
∴|PC|=R+5,
∴|PC|=|x|+5,
当点P在y轴右侧时,x>0,则|PC|=x+5,
∴点P的轨迹是以(5,0)为焦点的抛物线,则圆心P的轨迹方程为y2=20x(x>0);
当点P在y轴左侧时,x<0,则|PC|=-x+5,此时点P的轨迹是x轴的负半轴,即方程为y=0(x<0).
∴点P的轨迹方程为y2=20x(x>0)或y=0(x<0).
通性通法
解与抛物线有关的轨迹问题的方法
求解与抛物线有关的轨迹问题,既可以用轨迹法直接求解,也可以先将条件转化,再利用抛物线的定义求解.
角度3最值问题
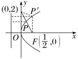
【例5】已知点P是抛物线y2=2x上的一个动点,求点P到点(0,2)的距离与P到该抛物线准线的距离之和的最小值.
解:由抛物线的定义可知,抛物线上的点到准线的距离等于它到焦点的距离.由图可知,当点P,点(0,2)和抛物线的焦点F
三点共线时距离之和最小,所以最小距离d=
=
.

【母题探究】
1.(变条件)若将本例中的点(0,2)改为点A(3,2),求|PA|+|PF|的最小值.
解:将x=3代入y2=2x,

得y=±
.
所以点A在抛物线内部.
设点P到准线x=-
的距离为d,
则|PA|+|PF|=|PA|+d.
由图可知,当PA⊥l时,|PA|+d最小,最小值是
.
即|PA|+|PF|的最小值是
.
2.(变条件)若将本例中的点(0,2)换为直线l1:3x-4y+
=0,求点P到直线3x-4y+
=0的距离与点P到该抛物线的准线的距离之和的最小值.
解:如图,作PQ垂直于准线l于点Q,

|PA1|+|PQ|=|PA1|+|PF|≥
.
|A1F|的最小值为点F到直线3x-4y+
=0的距离,设点F到直线l1的距离为d,d=
=1.即所求最小值为1.
通性通法
利用抛物线定义研究最值的一般思路
(1)若点M在抛物线的内部,过点M作准线的垂线,该垂线与抛物线的交点到抛物线焦点F和到已知点M的距离最小;
(2)若点M在抛物线的外部,连接MF,则MF与抛物线的交点P可使|PF|+|PM|的值最小.
【跟踪训练】
平面上一动点P到定点F(1,0)的距离比点P到y轴的距离大1,求动点P的轨迹方程.
解:由题意,动点P到定点F(1,0)的距离比到y轴的距离大1,由于点F(1,0)到y轴的距离为1,故当x<0时,直线y=0上的点符合题意;
当x≥0时,题中条件等价于点P到点F(1,0)与到直线x=-1的距离相等,故点P的轨迹是以F为焦点,直线x=-1为准线的抛物线,轨迹方程为y2=4x.
故所求动点P的轨迹方程为y2=4x(x≥0)或y=0(x<0).

1.若动点P到定点F(-4,0)的距离与到直线x=4的距离相等,则P点的轨迹是()
A.抛物线B.线段
C.直线D.射线
解析:A动点P的条件满足抛物线的定义.故选A.
2.已知抛物线y=2px2过点(1,4),则抛物线的焦点坐标为()
A.(1,0)B.
C.
D.(0,1)
解析:C由抛物线y=2px2过点(1,4),可得p=2,∴抛物线的标准方程为x2=
y,则焦点坐标为
C.
3.已知抛物线y2=2px(p>0)的焦点为F1,若点A(2,-4)在抛物线上,则点A到焦点的距离为4.
解析:把点(2,-4)代入抛物线y2=2px,得16=4p,即p=4,从而抛物线的焦点为(2,0).故点A到焦点的距离为4.
4.若焦点在y轴上,且抛物线上一点P(m,1)到焦点F的距离为6,求抛物线的标准方程.
解:由题意,可设抛物线的标准方程为x2=2py(p>0).点P到焦点的距离等于点P到准线的距离,故1-(-
)=6,解得p=10,所以抛物线的标准方程为x2=20y.


1.抛物线y=-
x2的准线方程为()
A.x=
B.x=1
C.y=1D.y=2
解析:C抛物线的标准方程为x2=-4y,则准线方程为y=1.
2.在平面直角坐标系中,与点(1,2)和直线x+y-3=0的距离相等的点的轨迹是()
A.直线B.抛物线
C.圆D.双曲线
解析:A因为点(1,2)在直线x+y-3=0上,所以所求点的轨迹是过点(1,2)且与直线x+y-3=0垂直的直线,故选A.
3.准线与x轴垂直,且经过点(1,-
)的抛物线的标准方程是()
A.y2=-2xB.y2=2x
C.x2=2yD.x2=-2y
解析:B由题意可设抛物线的标准方程为y2=mx(m≠0),则(-
)2=m,解得m=2,因此抛物线的标准方程为y2=2x.
4.(2024·温州月考)已知P为抛物线y2=4x上一个动点,Q为圆x2+(y-4)2=1上一个动点,则点P到点Q的距离与点P到抛物线的准线的距离之和的最小值是()
A.5B.
C.
-1D.
+1
解析:C点P到抛物线的准线的距离等于点P到抛物线焦点F(1,0)的距离.圆心坐标是(0,4),圆心到抛物线焦点的距离为
Q到抛物线焦点的距离的最小值是
-1.
5.(多选)经过点P(4,-2)的抛物线的标准方程为()
A.y2=xB.x2=8y
C.x2=-8yD.y2=-8x
解析:AC若抛物线的焦点在x轴上,设抛物线的方程为y2=mx(m≠0),因为抛物线经过点P(4,-2),所以(-2)2=4m,解得m=1,所以抛物线的标准方程为y2=x.若抛物线的焦点在y轴上,设抛物线的方程为x2=ny(n≠0),因为抛物线经过点P(4,-2),所以42=-2n,解得n=-8,所以抛物线的标准方程为x2=-8y.故选A、C.
6.(多选)对标准形式的抛物线给出下列条件,其中满足抛物线y2=10x的有()
A.焦点在y轴上
B.焦点在x轴上
C.开口向右,焦点坐标为(5,0)
D.抛物线上横坐标为1的点到焦点的距离等于
解析:BD抛物线y2=10x的焦点在x轴上,B满足,A不满足;易知抛物线开口向右,焦点坐标为(
不满足;设M(1,y0)是抛物线y2=10x上一点,F为焦点,则|MF|=1+
=1+
=
D满足.
7.已知双曲线
-y2=1的右焦点恰好是抛物线y2=8x的焦点,则m=3.
解析:由题意得m+1=22,解得m=3.
8.在抛物线y2=-12x上,与焦点的距离等于9的点的坐标是(-6,6
)或(-6,-6
).
解析:由方程y2=-12x,知焦点F(-3,0),准线l:x=3.设所求点为P(x,y),则由抛物线定义知|PF|=3-x.又|PF|=9,所以3-x=9,x=-6,代入y2=-12x,得y=±6
.所以所求点的坐标为(-6,6
)或(-6,-6
).
9.(2024·泰州月考)已知直线l1:4x-3y+6=0和直线l2:x=-1,抛物线y2=4x上一动点P到直线l1和直线l2的距离之和的最小值是2.
解析:易知直线l2:x=-1恰为抛物线y2=4x的准线,如图所示,动点P到l2:x=-1的距离可转化为PF的长度,其中F(1,0)为抛物线y2=4x的焦点.由图可知,距离之和的最小值即F到直线l1的距离d=
=2.

10.根据下列条件分别求抛物线的标准方程:
(1)抛物线的焦点是双曲线16x2-9y2=144的左顶点;
(2)抛物线的焦点F在x轴上,直线y=-3与抛物线交于点A,|AF|=5.
解:(1)双曲线方程可化为
-
=1,左顶点为(-3,0),
由题意设抛物线方程为y2=-2px(p>0)且
=-3,
∴p=6,∴抛物线的方程为y2=-12x.
(2)设所求焦点在x轴上的抛物线的方程为y2=2px(p≠0),A(m,-3),
由抛物线定义得5=|AF|=|m+
|.
又(-3)2=2pm,∴p=±1或p=±9,
故所求抛物线方程为y2=±2x或y2=±18x.

11.若动点M(x,y)到点F(4,0)的距离比它到直线x+5=0的距离小1,则点M的轨迹方程是()
A.x+4=0B.x-4=0
C.y2=8xD.y2=16x
解析:D依题意可知,点M到点F的距离等于点M到直线x=-4的距离,因此其轨迹是抛物线,且p=8,顶点在原点,焦点在x轴正半轴上,所以其方程为y2=16x.故选D.
12.(多选)设抛物线y2=4x,F为其焦点,P为抛物线上一点,则下列结论正确的是()
A.抛物线的准线方程是x=-1
B.当PF⊥x轴时,|PF|取最小值
C.若A(2,3),则|PA|+|PF|的最小值为
D.以线段PF为直径的圆与y轴相切
解析:ACD对于A,抛物线的准线方程为x=-
=-1,故A正确;对于B,设P(x0,y0),则x0≥0,=4x0,F(1,0),则|PF|=
=x0+1≥1,当x0=0时取得最小值,此时P(0,0)在原点,故B错误;对于C,A在抛物线外部,故当P,A,F三点共线时|PA|+|PF|取得最小值,为|AF|=
=
C正确;

对于D,过点P作准线的垂线,垂足为Q,设P(m,n),线段PF的中点为B(x1,y1),可得x1=
(1+m),由抛物线的定义,得|PF|=|PQ|=m+1,∴x1=
|PF|,即点B到y轴的距离等于以PF为直径的圆的半径,因此,以PF为直径的圆与y轴相切,故D正确.故选A、C、D.
13.已知M是抛物线C:y2=2px(p>0)上一点,F是抛物线C的焦点,过M作抛物线C的准线的垂线,垂足为N,若∠MFO=120°(O为坐标原点),△MNF的周长为12,则|NF|=4.
解析:因为∠MFO=120°,所以∠FMN=60°.又M是抛物线C上一点,所以|FM|=|MN|,则△FMN是等边三角形.又△FMN的周长为12,所以|NF|=
=4.
14.(2024·青岛月考)如图所示,已知抛物线y2=2px(p>0)的焦点为F,A是抛物线上横坐标为4,且位于x轴上方的点,点A到抛物线准线的距离等于5,过点A作AB垂直于y轴,垂足为点B,OB的中点为M.

(1)求抛物线的方程;
(2)过点M作MN⊥FA,垂足为N,求点N的坐标.
解:(1)抛物线y2=2px的准线方程为x=-
于是4+
=5,p=2,
所以抛物线的方程为y2=4x.
(2)由题意得A(4,4),B(0,4),M(0,2).
又F(1,0),所以kAF=
则FA的方程为y=
(x-1).
因为MN⊥FA,所以kMN=-
则MN的方程为y=-
x+2.
解方程组
得
所以N
.

15.(2024·泉州质检)已知抛物线C:y2=8x的焦点为F,准线l与x轴的交点为M,点P在抛物线上,且|PM|=
|PF|,则△PMF的面积为()
A.4B.8
C.16D.32
解析:B如图所示,易得F(2,0),过点P作PN⊥l,垂足为N.因为|PM|=
|PF|,|PF|=|PN|,所以|PM|=
|PN|,所以|MN|=|PN|.设P(
),则|t|=
+2,解得t=±4,所以△PMF的面积为
·|t|·|MF|=
×4×4=8.

16.已知抛物线y2=4ax(a>0)的焦点为A,以B(a+4,0)为圆心,|BA|为半径,在x轴上方画半圆,设抛物线与半圆交于不同两点M,N,点P为线段MN的中点.
(1)求|AM|+|AN|的值;
(2)是否存在这样的a,使2|AP|=|AM|+|AN|?若存在,求出a的值;若不存在,请说明理由.
解:(1)设M(xM,yM),N(xN,yN),由抛物线的定义,得|AM|+|AN|=xM+xN+2a.又圆的方程为[x-(a+4)]2+y2=16,将y2=4ax代入,得x2-2(4-a)x+a2+8a=0,∴xM+xN=2(4-a),∴|AM|+|AN|=8.
(2)不存在.假设存在这样的a,使得2|AP|=|AM|+|AN|.过点P作PP'垂直抛物线的准线,垂足为P'.
∵|AM|+|AN|=2|PP'|,∴|AP|=|PP'|.由抛物线的定义知点P必在抛物线上,这与点P是线段MN的中点矛盾,∴这样的a不存在.

通过网盘分享的文件:25-26学年同步培优讲义
链接: https://pan.baidu.com/s/1y0bSGZE1YoJg8gMTXiqQoA?pwd=4321 提取码: 4321
--来自百度网盘超级会员v8的分享