

第2课时导数的几何意义


从物理学中我们知道,如果物体运动的轨迹是一条曲线,那么该物体在每一个点处的瞬时速度的方向是与曲线相切的.例如,若物体的运动轨迹如图所示,而且物体是顺次经过A,B两点的,则物体在A点处的瞬时速度的方向与向量v的方向相同.

【问题】如果设曲线的方程为y=f(x),A(x0,f(x0)),那么曲线在点A处的切线的斜率是什么?

知识点一导数的几何意义
1.切线的定义
如图,在曲线y=f(x)上任取一点P(x,f(x)),如果当点P(x,f(x))沿着曲线y=f(x)无限趋近于点P0(x0,f(x0))时,割线P0P无限趋近于一个确定的位置,这个确定位置的直线P0T称为曲线y=f(x)在点P0处的切线.

2.导数的几何意义
函数y=f(x)在x=x0处的导数f'(x0)就是切线P0T的斜率k0,即k0=
=f'(x0).
【想一想】
若函数y=f(x)在点x0处的导数存在,则曲线y=f(x)在点P(x0,f(x0))处的切线方程是什么?
提示:根据直线的点斜式方程,得切线方程为y-f(x0)=f'(x0)(x-x0).
知识点二 导函数(导数)
1.定义:当x变化时,y=f'(x)就是x的函数,我们称它为y=f(x)的导函数(简称导数).
2.记法:y=f(x)的导函数记作f'(x)(有时也记作y'),即f'(x)=y'=
.
提醒函数f(x)在x=x0处的导数f'(x0)、导函数f'(x)之间的区别与联系:①区别:(ⅰ)f'(x0)是在x=x0处函数值的改变量与自变量的改变量之比的极限,是一个常数,不是变量;(ⅱ)f'(x)是函数f(x)的导函数,是对某一区间内任意x而言的;②联系:函数f(x)在x=x0处的导数f'(x0)就是导函数f'(x)在x=x0处的函数值.

1.判断正误.(正确的画“√”,错误的画“×”)
(1)函数在x=x0处的导数f'(x0)是一个常数.(√)
(2)函数y=f(x)在x=x0处的导数值就是曲线y=f(x)在x=x0处的切线的斜率.(√)
(3)直线与曲线相切,则直线与已知的曲线只有一个公共点.(×)
2.(2024·平顶山月考)曲线C:y=x2在x=1处的切线方程为2x-y-1=0.
解析:把x=1代入y=x2得y=12=1,即切点P(1,1),y'|x=1=
=
=
(Δx+2)=2,所以k=y'|x=1=2,所以曲线y=x2在P(1,1)处的切线方程为y-1=2(x-1),即2x-y-1=0.
3.已知y=
y'=
.
解析:∵Δy=
-
,∴
=
,∴
=
=
=
=
y'=
.

【例1】已知函数y=f(x)=x3.
(1)求曲线y=f(x)在点(-1,-1)处的切线方程;
(2)求曲线y=f(x)过点E(2,0)的切线方程.
解:(1)因为f'(x)=
=
=
[3x2+3xΔx+(Δx)2]=3x2,
所以曲线y=f(x)在点(-1,-1)处的切线的斜率为k=f'(-1)=3,所以切线方程为y+1=3(x+1),即3x-y+2=0.
(2)设切点坐标为(x0,),则切线的斜率为k=f'(x0)=3
y-
=3
(x-x0).
将点E(2,0)的坐标代入切线方程,得-
=3
(2-x0),
则2
(x0-3)=0,解得x0=0或x0=3,
所以切线方程为y=0或27x-y-54=0.
通性通法
求过点P(x0,y0)的曲线y=f(x)的切线方程的策略
(1)当点P(x0,y0)是切点时,切线方程为y-y0=f'(x0)(x-x0);
(2)当点P(x0,y0)不是切点时,可分以下几步完成:
第一步:设出切点坐标P'(x1,f(x1));
第二步:写出过点P'(x1,f(x1))的切线方程y-f(x1)=f'(x1)(x-x1);
第三步:将点P的坐标(x0,y0)代入切线方程求出x1;
第四步:将x1的值代入方程y-f(x1)=f'(x1)·(x-x1)可得过点P(x0,y0)的切线方程.
【跟踪训练】
求曲线y=
在点
处的切线方程.
解:曲线在点
处的切线的斜率为
k=
=
=-
由直线的点斜式方程可得切线方程为y-
=-
(x-2),即x+4y-4=0.
【例2】(1)(2024·烟台月考)已知抛物线y=f(x)=2x2+1在某点处的切线的倾斜角为45°,则该切点的坐标为
;
(2)已知直线x+y=b是函数f(x)=ax+
的图象在点(1,m)处的切线,则a+b=5 ,m=3.
解析:(1)设切点坐标为(x0,y0),则Δy=[2(x0+Δx)2+1]-(2
+1)=4x0·Δx+2(Δx)2,∴
=4x0+2Δx,∴f'(x0)=
=4x0.又∵切线的斜率为k=tan45°=1,∴4x0=1,即x0=
.∴y0=2×
+1=
,∴切点坐标为
.
(2)由题意知m=a+2,1+m=b,∵f'(1)=
=
(a-
)=a-2,∴曲线f(x)在点(1,m)处的切线斜率为a-2,由a-2=-1,得a=1,m=3,b=4,a+b=5.
通性通法
解答此类题目时,所给的直线的倾斜角或斜率是解题的关键,由这些信息得知函数在某点处的导数,进而可求此点的横坐标.解题时要注意解析几何知识的应用,如直线的倾斜角与斜率的关系,平行,垂直等.
【跟踪训练】
已知曲线f(x)=x2-1在x=x0处的切线与曲线g(x)=1-x3在x=x0处的切线互相平行,求x0.
解:对于曲线f(x)=x2-1,
k1=
=
=
(2x0+Δx)=2x0.
对于曲线g(x)=1-x3,
k2=
=
=
[-3x0Δx-3
-(Δx)2]=-3
.
由k1=k2,得2x0=-3
,∴x0=0或x0=-
.
【例3】(1)已知y=f(x)的图象如图所示,则f'(xA)与f'(xB)的大小关系是()

A.f'(xA)>f'(xB)B.f'(xA)<f'(xB)
C.f'(xA)=f'(xB)D.不能确定
(2)(2024·舟山月考)若函数f(x)的导函数在区间[a,b]上单调递增,则函数f(x)在区间[a,b]上的图象可能是()

答案:(1)B(2)A
解析:(1)由导数的几何意义,f'(xA),f'(xB)分别是切线在点A,B处切线的斜率,由题图可知f'(xA)<f'(xB).
(2)函数f(x)的导函数f'(x)在[a,b]上单调递增,若对任意x1和x2满足a<x1<x2<b,则有f'(a)<f'(x1)<f'(x2)<f'(b),根据导数的几何意义,可知函数y=f(x)的切线斜率在[a,b]内单调递增,观察图象,只有A选项符合.
通性通法
函数y=f(x)在x=x0处的导数的几何意义就是该函数曲线在x=x0处的切线的斜率,所以比较两个导数值的大小可以根据函数图象,观察函数y=f(x)在这两点处对应切线的斜率的大小.
【跟踪训练】
(2024·汕头月考)已知函数f(x)在R上可导,其部分图象如图所示,设
=a,则下列不等式正确的是()

A.f'(1)<f'(2)<aB.f'(1)<a<f'(2)
C.f'(2)<f'(1)<aD.a<f'(1)<f'(2)
解析:B由图象可知,函数在[0,+∞)上的增长速度越来越快,故函数图象在点(x0,f(x0))(x0∈(0,+∞))的切线的斜率越来越大,∵
=a,∴f'(1)<a<f'(2),故选B.

1.若曲线y=h(x)在点P(a,h(a))处的切线方程为2x+y+1=0,则()
A.h'(a)=0B.h'(a)<0
C.h'(a)>0D.h'(a)不存在
解析:B由2x+y+1=0,得y=-2x-1,由导数的几何意义可知h'(a)=-2<0.
2.如图,点A(x1,f(x1)),B(x2,f(x2))在函数f(x)的图象上,且x2<x1,则f'(x1)与f'(x2)的大小关系是()

A.f'(x1)>f'(x2)B.f'(x1)<f'(x2)
C.f'(x1)=f'(x2)D.不能确定
解析:A如图,根据导数的几何意义,f'(x1)为曲线f(x)在点A处切线的斜率,设该斜率为k1,f'(x2)为曲线f(x)在点B处切线的斜率,设该斜率为k2,由图象可得0>k1>k2,即有f'(x1)>f'(x2).

3.(2024·南平月考)已知函数y=f(x)的图象在点M(1,f(1))处的切线方程是y=
x+2,则f(1)+f'(1)=3.
解析:由图象在M点处的切线方程是y=
x+2,得f(1)=
×1+2=
(1)=
.∴f(1)+f'(1)=
+
=3.


1.若曲线y=f(x)在其上一点(1,3)处的切线过点(0,2),则()
A.f'(1)>0B.f'(1)=0
C.f'(1)<0D.f'(1)不存在
解析:A由题意知切线过点(1,3),(0,2),所以切线的斜率为k=f'(1)=
=1>0.
2.(2024·泰安月考)已知函数f(x)在R上有导函数,f(x)图象如图所示,则下列不等式正确的是()

A.f'(a)<f'(b)<f'(c)B.f'(b)<f'(c)<f'(a)
C.f'(a)<f'(c)<f'(b)D.f'(c)<f'(a)<f'(b)
解析:A如图,分别作曲线在x=a,x=b,x=c三处的切线l1,l2,l3,设切线的斜率分别为k1,k2,k3,易知k1<k2<k3,又f'(a)=k1,f'(b)=k2,f'(c)=k3,所以f'(a)<f'(b)<f'(c).故选A.

3.函数y=f(x)的导函数f'(x)的图象如图所示,则在y=f(x)的图象上A,B的对应点附近,有()

A.A处下降,B处上升B.A处上升,B处下降
C.A处下降,B处下降D.A处上升,B处上升
解析:A因为所给图象为导函数f'(x)的图象,且在A点处f'(x)<0,B点处f'(x)>0,故原函数图象上A处下降,B处上升.
4.(2024·安阳月考)已知函数f(x)=ax2+b的图象在点(1,3)处的切线斜率为2,则
=()
A.1B.2
C.3D.4
解析:B∵f'(1)=2,又
=
=
(aΔx+2a)=2a,∴2a=2,∴a=1.又f(1)=a+b=3,∴b=2,∴
=2.
5.(多选)曲线y=
在点P处的切线的倾斜角为
P的坐标可能为()
A.(3,3)B.(-3,-3)
C.(9,1)D.(1,9)
解析:AB由导数定义得y'=
=
[-
]=-
P(x0,y0),则由导数的几何意义可得-
=tan
=-1,解得x0=±3,从而y0=±3,即点P的坐标为(3,3)或(-3,-3).
6.(多选)下列说法正确的是()
A.若f'(x0)不存在,则曲线y=f(x)在点(x0,f(x0))处也可能有切线
B.若曲线y=f(x)在点(x0,f(x0))处有切线,则f'(x0)必存在
C.若f'(x0)不存在,则曲线y=f(x)在点(x0,f(x0))处的切线斜率不存在
D.若曲线y=f(x)在点(x0,f(x0))处没有切线,则f'(x0)有可能存在
解析:AC k=f'(x0),所以f'(x0)不存在只能说明曲线在该点处的切线斜率不存在,而当斜率不存在时,切线方程也可能存在,其切线方程是x=x0,A、C正确;当曲线y=f(x)在点(x0,f(x0))处没有切线,f'(x0)一定不存在,D错误,故选A、C.
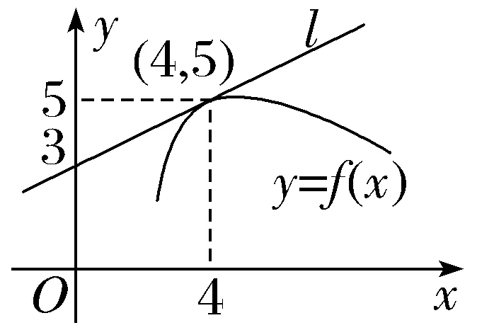
7.如图,直线l是曲线y=f(x)在x=4处的切线,则f'(4)=
.

解析:根据导数的几何意义知f'(4)是曲线y=f(x)在x=4处的切线的斜率k,注意到k=
=
f'(4)=
.
8.过点P(-1,2)且与曲线y=3x2-4x+2在点M(1,1)处的切线平行的直线方程是2x-y+4=0.
解析:由题意知,Δy=3(1+Δx)2-4(1+Δx)+2-3+4-2=3(Δx)2+2Δx.∴y'|x=1=
=2,∴所求直线的斜率k=2.故所求直线方程为y-2=2(x+1),即2x-y+4=0.
9.曲线y=x+
上任意一点P处的切线斜率为k,则k的取值范围是(-∞,1).
解析:y=x+
上任意一点P(x0,y0)处的切线斜率为k=y'
=
=
(1-
)=1-
<1,即k<1.
10.已知曲线C:y=x3.
(1)求曲线在点(3,27)处的切线l的方程;
(2)求切线l与两坐标轴所围成的三角形的面积.
解:(1)∵y'|x=3=
=27,
∴曲线C在点(3,27)处的切线方程为y-27=27(x-3),即y=27x-54.
(2)∵切线l:y=27x-54与x,y轴分别相交于点(2,0),(0,-54),
∴所求三角形的面积为S=
×2×54=54.

11.(2024·阳江月考)如图,曲线y=f(x)在点P(1,f(1))处的切线l过点(2,0),且f'(1)=-2,则f(1)=()

A.-1B.1C.2D.3
解析:C曲线y=f(x)在点P(1,f(1))处的切线l过点(2,0),且f'(1)=-2,所以切线方程为y=-2(x-2).因为切点在曲线上也在切线上,所以f(1)=-2×(1-2)=2.
12.(多选)设P为曲线C:y=f(x)=x2+2x+3上的点,且曲线C在点P处切线的倾斜角α∈[
),则点P的横坐标的取值可能为()
A.
B.-1C.-
D.-
解析:AC设点P的横坐标为x0,则点P处切线的倾斜角α与x0的关系为tanα=f'(x0)=
=2x0+2.∵α∈[
),∴tanα∈[1,+∞),∴2x0+2≥1,即x0≥-
A、C.
13.(2024·金华月考)若P是抛物线y=x2上任意一点,则点P到直线y=x-2的最小距离为
.
解析:由题意可得,当点P到直线y=x-2的距离最小时,点P为抛物线y=x2的一条切线的切点,且该切线平行于直线y=x-2,设y=f(x)=x2,由导数的几何意义知y'=f'(x)=
=2x=1,解得x=
P(
),故点P到直线y=x-2的最小距离d=
=
.
14.点P在曲线y=f(x)=x2+1上,且曲线在点P处的切线与曲线y=-2x2-1相切,求点P的坐标.
解:设P(x0,y0),则y0=
+1,f'(x0)=
=2x0,
所以过点P的切线方程为y-y0=2x0(x-x0),即y=2x0x+1-
而此直线与曲线y=-2x2-1相切,
所以切线与曲线y=-2x2-1只有一个公共点,由
得2x2+2x0x+2-
=0,则Δ=4
-8(2-
)=0,解得x0=±
y0=
所以点P的坐标为
或
.

15.(多选)(2024·厦门月考)已知函数f(x)=x+
y=f(x)存在两条过点(1,0)的切线,则a的值可以是()
A.-4B.-2C.0D.2
解析:AD由题得f'(x)=
=
=1-
(x0,x0+
),则切线方程为y-x0-
=(1-
)(x-x0).又切线过点(1,0),可得-x0-
=(1-
)(1-x0),整理得2
+2ax0-a=0(*).因为曲线y=f(x)存在两条过点(1,0)的切线,所以方程(*)有两个不等实根,即满足Δ=4a2-8(-a)>0,解得a>0或a<-2.故选A、D.
16.英国数学家牛顿在17世纪给出了一种求方程近似根的方法——牛顿迭代法,方法如下:如图,设r是f(x)=0的根,选取x0作为r的初始近似值,在点(x0,f(x0))处作曲线y=f(x)的切线l:y-f(x0)=f'(x0)(x-x0),则l与x轴的交点的横坐标x1=x0-
(f'(x0)≠0),称x1是r的一次近似值;在点(x1,f(x1))处作曲线y=f(x)的切线,则该切线与x轴的交点的横坐标为x2,称x2是r的二次近似值;重复以上过程,得r的近似值序列,其中xn+1=xn-
(f'(xn)≠0),称xn+1是r的n+1次近似值.若使用该方法求方程x2=2的近似解.

(1)取初始近似值为2,求该方程解的二次近似值;
(2)证明:x4=x0-
-
-
-
.
解:(1)令f(x)=x2-2,则f'(x)=
=2x,
取初始近似值x0=2,则x1=x0-
=2-
=
2=x1-
=
-
=
.
(2)证明:根据题意,可知x1=x0-
2=x1-
3=x2-
4=x3-
x4=x0-
-
-
-
.

通过网盘分享的文件:25-26学年同步培优讲义
链接: https://pan.baidu.com/s/1y0bSGZE1YoJg8gMTXiqQoA?pwd=4321 提取码: 4321
--来自百度网盘超级会员v8的分享